聯系熱線
環境臭氧分析儀原理圖及組成
在環境監測領域,臭氧氣體分析儀是一種重要的設備,用于測量環境空氣中的臭氧濃度。這篇文章介紹環境臭氧氣體分析儀的原理圖及組成。
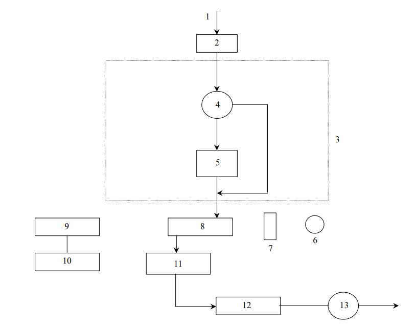
環境臭氧分析儀主要由以下幾部分組成。典型的紫外光度臭氧測量系統原理圖組成見圖1。

1.空氣輸入; 2.顆粒物過濾器和除濕器; 3.環境臭氧分析儀; 4.旁路閥; 5.滌氣器;6.紫外光源燈;7.光學鏡片;8.UV吸收池;9.UV檢測器;10.信號處理器;11.空氣流量計; 12.流量控制器; 13.泵。
(1)紫外吸收池
紫外吸收池應由不與臭氧起化學反應的惰性材料制成,并具有良好的機械穩定性,以致光學校準不受環境溫度變化的影響。吸收池溫度控制精度為+0.5°C,吸收池中樣品空氣壓力控制精度為+0.2 kPa。
(2)紫外光源燈
例如低壓汞燈,其發射的紫外單色光集中在253.7 nm,而185 nm的光(照射氧產生臭氧)通過石英窗屏蔽去除。光源燈發出的紫外輻射應足夠穩定,能夠滿足分析要求(參數見本標準附錄D)。
(3)紫外檢測器.
能定量接收波長253.7nm處輻射的99.5%。其電子組件和傳感器的響應穩定,能滿足分析要求。
(4)帶旁路閥的滌氣器
其活性組分能在環境空氣樣品流中選擇性地去除臭氧。
(5)采樣泵.
采樣泵安裝在氣路的末端(見圖1),抽吸空氣流過臭氧分析儀,能保持流量在1~2 L/min。
(6)流量控制器
緊接在采樣泵的前面,可適當調節流過臭氧分析儀的空氣流量。
(7)空氣流量計
安裝在紫外吸收池的后面(見圖1),流量范圍為1~2 L/min,
(8)溫度指示器
能測量紫外吸收池中樣品空氣的溫度,準確度為+0.5°C。
(9)壓力指示器
能測量紫外吸收池內的樣品空氣的壓力,準確度為+0.2 kPa。

環境臭氧氣體分析儀的原理圖及組成部分是復雜而精密的,其中涉及的技術涵蓋進樣、采樣、反應、光學測量、信號處理等多個領域。需要熟悉這些原理圖和組成部分,以確保儀器的準確性和可靠性,從而為環境監測工作提供有效支持。希望這篇文章能夠對您有所幫助。如果有任何疑問或需要進一步了解,請隨時與我聯系。